NHÀ XE LÀO VIỆT
sim Mphone 51855888
sim mphone 51833888

Nguồn: Tổng hợp

Chính phủ điều chỉnh giá điện quý IV, chấm dứt cấp điện miễn phí cho hộ dùng ít

Ngày 30-09-2025 (12248)

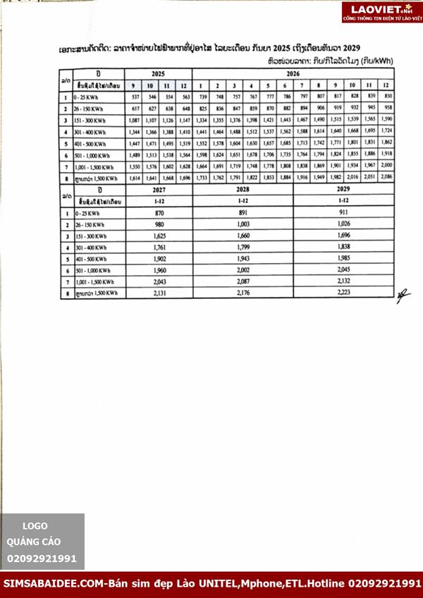
Chính phủ công bố biểu giá điện sinh hoạt mới bắt đầu từ tháng 10, áp dụng cho quý cuối cùng của năm 2025.

Chính phủ đã công bố mức giá điện sinh hoạt mới, bắt đầu áp dụng từ kỳ hóa đơn tháng 10, cho quý cuối cùng của năm 2025.

Từ tháng 9 đến tháng 12, chi phí truyền tải điện cho các hộ từ bậc 1 đến bậc 3 sẽ tăng thêm 0,7 cent Mỹ mỗi kilowatt-giờ.

Mặc dù thông báo không giải thích rõ nguyên nhân của sự thay đổi, Công ty Điện lực Lào (EDL) cho biết sẽ tiếp tục đàm phán với các nhà sản xuất điện độc lập nhằm giảm chi phí mua điện.

Đồng thời, chính phủ cũng chấm dứt chương trình cấp điện miễn phí cho các hộ tiêu thụ đến 25 kilowatt-giờ mỗi tháng, một động thái được cho là sẽ ảnh hưởng nhiều nhất đến những người dùng ít điện.

Thông báo chính thức cũng đưa ra một số biện pháp nhằm quản lý chi phí điện và cải thiện hệ thống năng lượng nói chung.

Chính phủ khuyến khích sử dụng các nguồn năng lượng tái tạo như điện mặt trời áp mái, điện gió và sinh khối, đồng thời nhấn mạnh vai trò của các chiến dịch nâng cao nhận thức cộng đồng để thúc đẩy tiết kiệm điện, đặc biệt trong giới trẻ.

Những sáng kiến này là một phần trong chiến lược dài hạn nhằm duy trì dịch vụ điện ổn định, bền vững và có giá cả phải chăng cho cả nhà cung cấp và người tiêu dùng.

Người dùng Facebook bày tỏ lo ngại

Thông báo được Bộ Công thương đăng tải trên Facebook ngày 23/9 và nhanh chóng thu hút phản ứng mạnh mẽ trên trang Facebook chính thức của EDL.

Nhiều người dùng mạng xã hội bày tỏ sự bức xúc về chi phí điện tăng cao, đặt câu hỏi về chính sách giá mới và tác động đến ngân sách hộ gia đình.

“Thật sự! Giá tăng hay giảm thì hóa đơn điện mỗi tháng vẫn ngày càng đắt đỏ,” một người viết.

“Tôi đang chờ xem liệu giá có thực sự giảm không. Cuộc sống của tôi vẫn bình thường, nhưng chi tiêu đã thay đổi nhiều. Tôi đã chuyển từ trả hàng trăm nghìn kip lên hàng triệu […],” một người khác chia sẻ.

Một số người cũng đặt nghi vấn liệu các cuộc đàm phán với các nhà sản xuất điện độc lập có thực sự mang lại lợi ích cho công chúng hay không.

“Tôi hy vọng kế hoạch giảm giá mua điện sẽ thành công,” một người bình luận. “Nhưng có vẻ như bất kỳ thỏa thuận nào cũng sẽ gây bất lợi cho chúng ta, dù đất nước có luật pháp mạnh mẽ và các nhà đàm phán giỏi.”

Trong khi đó, những người khác tập trung vào tính tạm thời của việc điều chỉnh giá.

“Giá đã được hạ từ mức công bố trước đó, nhưng chỉ trong giai đoạn tháng 10 đến tháng 12/2025,” một người nhận xét. “Sau đó, giá sẽ tiếp tục tăng trở lại hàng tháng và quay về mức đã công bố trước đó cho đến năm 2029. Tiêu đề nghe như chính phủ giảm giá, nhưng thực tế chỉ trong ba tháng.”

Những phản ứng này cho thấy người dân đang theo dõi sát sao sự thay đổi, ngày càng lo ngại về việc biểu giá mới cùng với việc chấm dứt cấp điện miễn phí sẽ ảnh hưởng ra sao đến đời sống hàng ngày.

Thông báo mới nhất ngày 23/9/2025
Thông báo trước đó ngày 25/2/2025

TÌM SIM THEO YÊU CẦU
Call,wa: 92921991